Sphere Meaning For Tamil . A body or space contained under a single surface, which in every part is equally distant from a point within called its center. sphere translation and definition in tamil, related phrase, antonyms, synonyms, examples for sphere check 'sphere' translations into tamil. a subject or area of knowledge, work, etc. Googleளின் சேவை விலை இல்லாமல் வழங்கப்படுகிறது. கட்டற்ற பன்மொழி அகரமுதலியான விக்சனரியில் இருந்து. அறிவு, பணி போன்ற ஒரு பொருள் அல்லது பகுதி. Also you will learn antonyms ,. Look through examples of sphere translation in sentences, listen to pronunciation and learn.
from www.youtube.com
Also you will learn antonyms ,. A body or space contained under a single surface, which in every part is equally distant from a point within called its center. Googleளின் சேவை விலை இல்லாமல் வழங்கப்படுகிறது. a subject or area of knowledge, work, etc. check 'sphere' translations into tamil. அறிவு, பணி போன்ற ஒரு பொருள் அல்லது பகுதி. Look through examples of sphere translation in sentences, listen to pronunciation and learn. sphere translation and definition in tamil, related phrase, antonyms, synonyms, examples for sphere கட்டற்ற பன்மொழி அகரமுதலியான விக்சனரியில் இருந்து.
Sphere meaning in telugu with examples Sphere తెలుగు లో అర్థం
Sphere Meaning For Tamil அறிவு, பணி போன்ற ஒரு பொருள் அல்லது பகுதி. கட்டற்ற பன்மொழி அகரமுதலியான விக்சனரியில் இருந்து. A body or space contained under a single surface, which in every part is equally distant from a point within called its center. Also you will learn antonyms ,. அறிவு, பணி போன்ற ஒரு பொருள் அல்லது பகுதி. check 'sphere' translations into tamil. Look through examples of sphere translation in sentences, listen to pronunciation and learn. a subject or area of knowledge, work, etc. Googleளின் சேவை விலை இல்லாமல் வழங்கப்படுகிறது. sphere translation and definition in tamil, related phrase, antonyms, synonyms, examples for sphere
From byjus.com
Area of Sphere Volume of Sphere Definitions & Examples Sphere Meaning For Tamil check 'sphere' translations into tamil. a subject or area of knowledge, work, etc. A body or space contained under a single surface, which in every part is equally distant from a point within called its center. sphere translation and definition in tamil, related phrase, antonyms, synonyms, examples for sphere கட்டற்ற பன்மொழி அகரமுதலியான விக்சனரியில் இருந்து. Googleளின் சேவை. Sphere Meaning For Tamil.
From www.youtube.com
Volume of sphere (Tamil) YouTube Sphere Meaning For Tamil Googleளின் சேவை விலை இல்லாமல் வழங்கப்படுகிறது. A body or space contained under a single surface, which in every part is equally distant from a point within called its center. Look through examples of sphere translation in sentences, listen to pronunciation and learn. அறிவு, பணி போன்ற ஒரு பொருள் அல்லது பகுதி. கட்டற்ற பன்மொழி அகரமுதலியான விக்சனரியில் இருந்து. check 'sphere' translations into tamil.. Sphere Meaning For Tamil.
From www.youtube.com
The Sphere Equation of a sphere Analytic geometry YouTube Sphere Meaning For Tamil Also you will learn antonyms ,. sphere translation and definition in tamil, related phrase, antonyms, synonyms, examples for sphere A body or space contained under a single surface, which in every part is equally distant from a point within called its center. கட்டற்ற பன்மொழி அகரமுதலியான விக்சனரியில் இருந்து. check 'sphere' translations into tamil. Googleளின் சேவை விலை இல்லாமல் வழங்கப்படுகிறது.. Sphere Meaning For Tamil.
From www.youtube.com
SPHEREGEOSPHERE STANDARD PRIMITIVES 3DS MAX TUTORIAL TAMIL SMT Sphere Meaning For Tamil A body or space contained under a single surface, which in every part is equally distant from a point within called its center. a subject or area of knowledge, work, etc. கட்டற்ற பன்மொழி அகரமுதலியான விக்சனரியில் இருந்து. sphere translation and definition in tamil, related phrase, antonyms, synonyms, examples for sphere Googleளின் சேவை விலை இல்லாமல் வழங்கப்படுகிறது. Also you will. Sphere Meaning For Tamil.
From www.worldatlas.com
The Four Spheres Of The Earth WorldAtlas Sphere Meaning For Tamil Also you will learn antonyms ,. Look through examples of sphere translation in sentences, listen to pronunciation and learn. sphere translation and definition in tamil, related phrase, antonyms, synonyms, examples for sphere Googleளின் சேவை விலை இல்லாமல் வழங்கப்படுகிறது. அறிவு, பணி போன்ற ஒரு பொருள் அல்லது பகுதி. a subject or area of knowledge, work, etc. A body or space contained under. Sphere Meaning For Tamil.
From www.youtube.com
Volume of Sphere using Triple integral in Tamil Problem1 Engg. Maths Sphere Meaning For Tamil அறிவு, பணி போன்ற ஒரு பொருள் அல்லது பகுதி. a subject or area of knowledge, work, etc. Googleளின் சேவை விலை இல்லாமல் வழங்கப்படுகிறது. Look through examples of sphere translation in sentences, listen to pronunciation and learn. check 'sphere' translations into tamil. sphere translation and definition in tamil, related phrase, antonyms, synonyms, examples for sphere A body or space contained under. Sphere Meaning For Tamil.
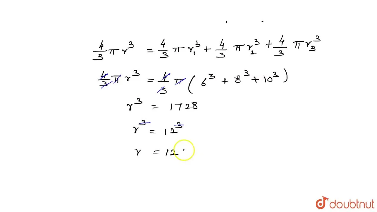
From www.doubtnut.com
[Tamil] Three metallic spheres of radii 6 cm, 8 cm and 10 cm respectiv Sphere Meaning For Tamil அறிவு, பணி போன்ற ஒரு பொருள் அல்லது பகுதி. A body or space contained under a single surface, which in every part is equally distant from a point within called its center. Also you will learn antonyms ,. கட்டற்ற பன்மொழி அகரமுதலியான விக்சனரியில் இருந்து. Googleளின் சேவை விலை இல்லாமல் வழங்கப்படுகிறது. a subject or area of knowledge, work, etc. Look through examples of. Sphere Meaning For Tamil.
From www.youtube.com
Form the PDE of family of spheres having their centers on the line x=y Sphere Meaning For Tamil Look through examples of sphere translation in sentences, listen to pronunciation and learn. Also you will learn antonyms ,. கட்டற்ற பன்மொழி அகரமுதலியான விக்சனரியில் இருந்து. sphere translation and definition in tamil, related phrase, antonyms, synonyms, examples for sphere check 'sphere' translations into tamil. அறிவு, பணி போன்ற ஒரு பொருள் அல்லது பகுதி. Googleளின் சேவை விலை இல்லாமல் வழங்கப்படுகிறது. a subject. Sphere Meaning For Tamil.
From dinvjrggeco.blob.core.windows.net
Spherical Meaning With Example at Arnold Rodriguez blog Sphere Meaning For Tamil A body or space contained under a single surface, which in every part is equally distant from a point within called its center. Googleளின் சேவை விலை இல்லாமல் வழங்கப்படுகிறது. check 'sphere' translations into tamil. sphere translation and definition in tamil, related phrase, antonyms, synonyms, examples for sphere அறிவு, பணி போன்ற ஒரு பொருள் அல்லது பகுதி. a subject or area. Sphere Meaning For Tamil.
From www.youtube.com
Sphere meaning in telugu with examples Sphere తెలుగు లో అర్థం Sphere Meaning For Tamil Also you will learn antonyms ,. அறிவு, பணி போன்ற ஒரு பொருள் அல்லது பகுதி. a subject or area of knowledge, work, etc. Look through examples of sphere translation in sentences, listen to pronunciation and learn. check 'sphere' translations into tamil. கட்டற்ற பன்மொழி அகரமுதலியான விக்சனரியில் இருந்து. sphere translation and definition in tamil, related phrase, antonyms, synonyms, examples for. Sphere Meaning For Tamil.
From www.doubtnut.com
[Tamil] Two conducting spheres of radius r(1) =8 cm and r(2) =2 cm are Sphere Meaning For Tamil check 'sphere' translations into tamil. a subject or area of knowledge, work, etc. Also you will learn antonyms ,. Look through examples of sphere translation in sentences, listen to pronunciation and learn. sphere translation and definition in tamil, related phrase, antonyms, synonyms, examples for sphere அறிவு, பணி போன்ற ஒரு பொருள் அல்லது பகுதி. A body or space contained. Sphere Meaning For Tamil.
From www.youtube.com
10th Std Maths Lesson 7 Mensuration (New Book) cylinder cone sphere Sphere Meaning For Tamil a subject or area of knowledge, work, etc. check 'sphere' translations into tamil. Googleளின் சேவை விலை இல்லாமல் வழங்கப்படுகிறது. A body or space contained under a single surface, which in every part is equally distant from a point within called its center. கட்டற்ற பன்மொழி அகரமுதலியான விக்சனரியில் இருந்து. Look through examples of sphere translation in sentences, listen to pronunciation. Sphere Meaning For Tamil.
From novapublishers.com
Spheres of Meaning Nova Science Publishers Sphere Meaning For Tamil அறிவு, பணி போன்ற ஒரு பொருள் அல்லது பகுதி. check 'sphere' translations into tamil. sphere translation and definition in tamil, related phrase, antonyms, synonyms, examples for sphere a subject or area of knowledge, work, etc. கட்டற்ற பன்மொழி அகரமுதலியான விக்சனரியில் இருந்து. Googleளின் சேவை விலை இல்லாமல் வழங்கப்படுகிறது. Also you will learn antonyms ,. A body or space contained under a. Sphere Meaning For Tamil.
From tamilastronomy.in
Structure of the Earth in Tamil (பூமியின் அமைப்பு) Tamil Astronomy Sphere Meaning For Tamil கட்டற்ற பன்மொழி அகரமுதலியான விக்சனரியில் இருந்து. A body or space contained under a single surface, which in every part is equally distant from a point within called its center. a subject or area of knowledge, work, etc. Also you will learn antonyms ,. அறிவு, பணி போன்ற ஒரு பொருள் அல்லது பகுதி. sphere translation and definition in tamil, related phrase,. Sphere Meaning For Tamil.
From www.youtube.com
Sphere(கோளம்) Mensuration in Tamil Volume of Sphere TNPSC Area Sphere Meaning For Tamil sphere translation and definition in tamil, related phrase, antonyms, synonyms, examples for sphere check 'sphere' translations into tamil. A body or space contained under a single surface, which in every part is equally distant from a point within called its center. அறிவு, பணி போன்ற ஒரு பொருள் அல்லது பகுதி. a subject or area of knowledge, work, etc. Also. Sphere Meaning For Tamil.
From www.youtube.com
Volume Of Sphere in Tamil Mensuration in Tamil TNPSC 10th Maths Sphere Meaning For Tamil A body or space contained under a single surface, which in every part is equally distant from a point within called its center. check 'sphere' translations into tamil. கட்டற்ற பன்மொழி அகரமுதலியான விக்சனரியில் இருந்து. a subject or area of knowledge, work, etc. Googleளின் சேவை விலை இல்லாமல் வழங்கப்படுகிறது. அறிவு, பணி போன்ற ஒரு பொருள் அல்லது பகுதி. sphere translation and. Sphere Meaning For Tamil.
From www.doubtnut.com
[Tamil] The radius of the circle in which the sphere x^(2)+y^2+z^2+2 Sphere Meaning For Tamil Also you will learn antonyms ,. check 'sphere' translations into tamil. கட்டற்ற பன்மொழி அகரமுதலியான விக்சனரியில் இருந்து. Googleளின் சேவை விலை இல்லாமல் வழங்கப்படுகிறது. A body or space contained under a single surface, which in every part is equally distant from a point within called its center. sphere translation and definition in tamil, related phrase, antonyms, synonyms, examples for sphere. Sphere Meaning For Tamil.
From www.youtube.com
TNPSC Sphere of the Earth TAMIL 6th Geography YouTube Sphere Meaning For Tamil A body or space contained under a single surface, which in every part is equally distant from a point within called its center. Also you will learn antonyms ,. a subject or area of knowledge, work, etc. check 'sphere' translations into tamil. அறிவு, பணி போன்ற ஒரு பொருள் அல்லது பகுதி. Googleளின் சேவை விலை இல்லாமல் வழங்கப்படுகிறது. Look through examples of. Sphere Meaning For Tamil.